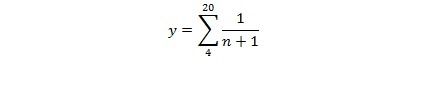
• Cоставьте, пожалуйста, программу на паскале суммы ряда (далее вложение)

    question img

Ответы 2

  • cпасибо большое, нашла свою ошибку:))
    • Автор:

      tanner57
    • 6 лет назад
    • 0
  • Vary:real;n:integer;Beginy:=0;For n:= 4 to 20 do    y:=y+1/(n+1);WriteLn('y = ',y);End.
  • Добавить свой ответ

Войти через Google

или

Забыли пароль?

У меня нет аккаунта, я хочу Зарегистрироваться

How much to ban the user?
1 hour 1 day 100 years