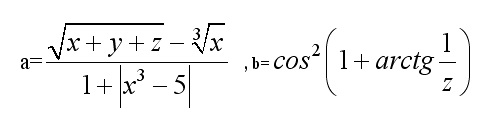
Решить надо в Free PascalДаны вещественные x, y, z. Вычислить a, b, если
Предмет:
ИнформатикаАвтор:
hersheyylhovar
x,y,z,a,b:real;
begin
write ('X = ');readln(x);
write ('Y = ');readln(y);
write ('Z = ');readln(z);
a:=(sqrt(x+y+z)-exp(1/3*ln(x)))/(1+abs(x*x*x-5));
b:=sqr(cos(1+arctan(1/z)));
writeln ('A = ',a:0:4);
writeln ('B = ',b:0:4);
readln;
end.
Только во 2 выражении будет в радианах все считаться
Автор:
flint38Добавить свой ответ
На рисунке приведена зависимость от времени числа не распавшихся ядер в процессе радиоактивного распада для трех изотопов.
Для какого из них период полураспада наибольший?
Задание: Рассчитать оплату электроэнергии еслт за первые 100 кВт клиент платит 2 руб. за 1 кВт, за превышение расхода свыше 100 кВт в месяц - по 2,5 руб. за каждый кВт. № п/п Клиент Кол-во электроэнергии (кВт) Оплата (руб) 1 Коржова 140 2 Давыдова 100 3 Козлов 80 4 Литвинов 50 5 Новиков 120
Предмет:
ИнформатикаАвтор:
midnight20Ответов:
Смотреть
Объясните пожалуйста подробно.
1.
Найти производныую
y=e^x+3x^2
2.
Найдите для функции f(x)=x^3 первообразную, график которой проходит через точку М(2;0).
Предмет:
МатематикаАвтор:
meganh3hgОтветов:
Смотреть
1)Катушка с ничтожно малым активным сопротивлением включена в цепь переменного тока с частотой 50 Гц. При напряжении 125 В сила тока равна 2,5 А. Какова индуктивность катушки?
2)трансформатор кенотронного выпрямителя повышает напряжение с 220 до 660 в и содержит в первичной обмотке 840 витков. Каков коэффициент трансформации? Сколько витков содержится во вторичной обмотке? В какой обмотке провод большего сечения?
Решение расписать
Например: Сначала найдем коэффициент трансформации... и т.п.