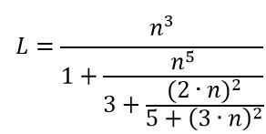
• Перевидите изображение в вид уравнения (единой строкою)

    question img

Ответы 1

  • L = n^3/(1 + n^5/(3 + (2*n)^2/(5 + (3*n)^2)))
  • Добавить свой ответ

Войти через Google

или

Забыли пароль?

У меня нет аккаунта, я хочу Зарегистрироваться

How much to ban the user?
1 hour 1 day 100 years