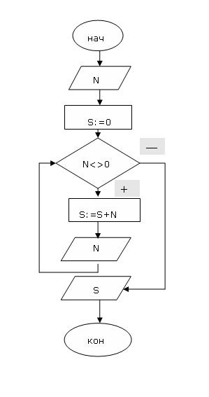
• Запишите на языке Паскаль программу, соответствующую приведённой ниже блок-схеме и определить, что вычисляет данная программа:

    question img

Ответы 1

  • Программа на скрине!программа получает на вход последовательность цел. чисел (признак конца последовательности 0 (не входит в последовательность)) и возвращает сумму этих чисел.Надеюсь помог!
    answer img
  • Добавить свой ответ

Войти через Google

или

Забыли пароль?

У меня нет аккаунта, я хочу Зарегистрироваться

How much to ban the user?
1 hour 1 day 100 years