• помогите срочно)
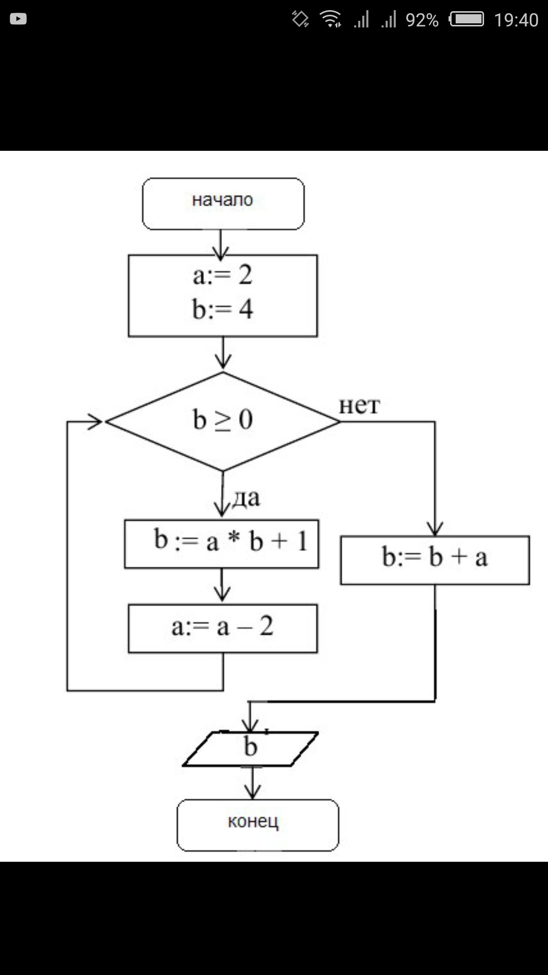
    Преобразуй блок- схему в алгоритм на алгоритмическом языке или в программу на языке Паскаль.

    question img

Ответы 4

  • спасибо
  • постройте таблицу истинности для логического выражения (AvB)&(ĀvB)
  • помогите это еще пж
  • Var a,b: integer;Begina:=2;b:=4;while b>=0 dobeginb:=a*b+1;a:=a-2;end;b:=b+a;write (b);End.
  • Добавить свой ответ

Еще вопросы

Войти через Google

или

Забыли пароль?

У меня нет аккаунта, я хочу Зарегистрироваться

How much to ban the user?
1 hour 1 day 100 years