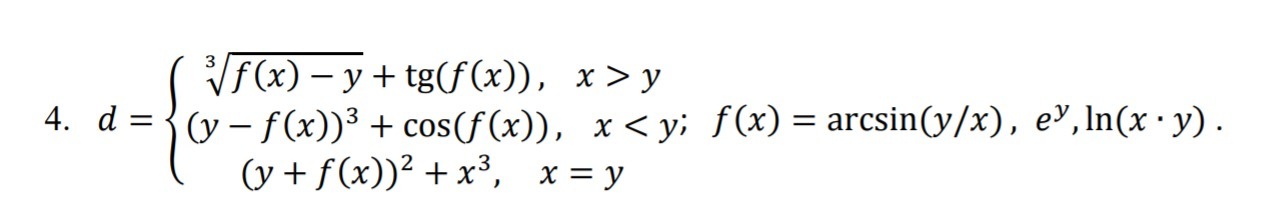
• помогите дописать код.
    int main()
    {
    double x,y,f,d;
    int k=0;
    printf("Input x-> ");
    scanf("%if", &x);
    printf("Input y-> ");
    scanf("%if", &y);
    printf("Select f: 1 - arcsin(x/y), 2 - e^y, 3 - ln(x*y) ->");
    scanf("%d", &k);
    switch(k)
    {
    case 1: f=asin(y/x); break;
    case 2: f=exp(y); break;
    case 3: f=log(x*y); break;
    default: printf("Function is not selected");
    return 1;
    }
    if (x>y)
    {

    question img

Ответы 2

  • можете посоветовать какой нибудь источник, где можно подробно узнать о функции if
  • Источников огромное количество. Например: http://cppstudio.com/post/6449/
    • Автор:

      jennyantw
    • 6 лет назад
    • 0
  • Добавить свой ответ

Войти через Google

или

Забыли пароль?

У меня нет аккаунта, я хочу Зарегистрироваться

How much to ban the user?
1 hour 1 day 100 years