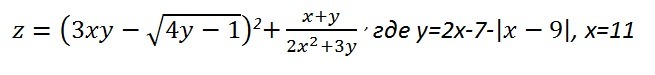
• Используя средства Excel вычислить значение функции, задавая последовательность вычислений в столбцах.

    question img

Ответы 1

  • (X > 2)  (X >3) для Х = 1, 2, 3, 4.ОТВЕТЬ
  • Добавить свой ответ

Войти через Google

или

Забыли пароль?

У меня нет аккаунта, я хочу Зарегистрироваться

How much to ban the user?
1 hour 1 day 100 years