• Запишите,пожалуйста, формулу на языке паскаль

    question img

Ответы 2

  • Ты разбираешься в программировании?? умеешь составлять задачи на pascal по данным условиям?
    • Автор:

      damian446
    • 6 лет назад
    • 0
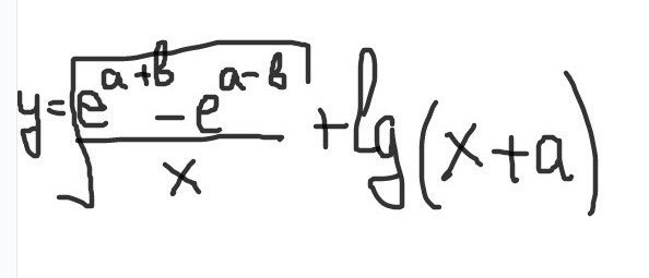
  • y:=Sqrt((Exp(a+b)-Exp(a-b))/x)+Log10(x+a);
  • Добавить свой ответ

Войти через Google

или

Забыли пароль?

У меня нет аккаунта, я хочу Зарегистрироваться

How much to ban the user?
1 hour 1 day 100 years