• Записать математическое выражение на языке Паскаль.

    question img

Ответы 1

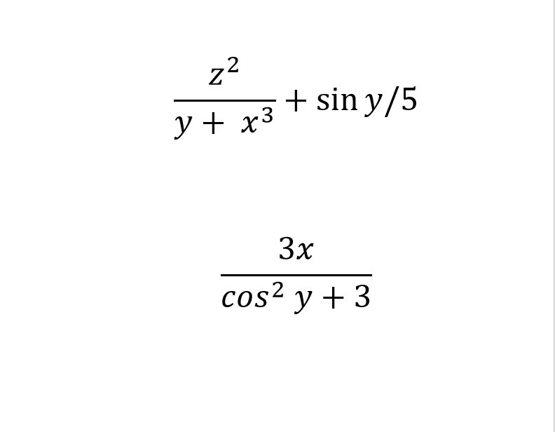
  • 1) sqr(z)/(y+sqr(x)*x)+sin(y/5)=2) 3x/(sqr(cos(y))+3)=
    • Автор:

      maddyyzmd
    • 6 лет назад
    • 0
  • Добавить свой ответ

Войти через Google

или

Забыли пароль?

У меня нет аккаунта, я хочу Зарегистрироваться

How much to ban the user?
1 hour 1 day 100 years