• необходимо вывести n первых членов соответствующей по­
    следовательности

    question img

Ответы 4

  • а можно в с++? если не затруднит
  • Можно. Только Вы должны оформить новое задание.
  • спасибо !!! я уже сам разобрался
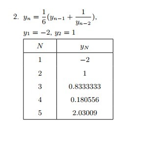
  • var n,i:integer;y1,y2,yn:real;beginreadln(n);y1:=-2;y2:=1;writeln(1,'  ',y1:5:3);writeln(2,'  ',y2:5:3);for i:=3 to n do begin yn:=1/6*(y2+1/y1); writeln(i,' ',yn:7:5); y1:=y2; y2:=yn; end;end.Пример:51 -2.0002 1.0003 0.083334 0.180565 2.03009
    • Автор:

      lianapkuc
    • 6 лет назад
    • 0
  • Добавить свой ответ

Еще вопросы

Войти через Google

или

Забыли пароль?

У меня нет аккаунта, я хочу Зарегистрироваться

How much to ban the user?
1 hour 1 day 100 years