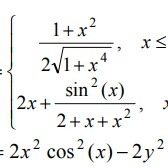
• Записать эти 3 формулы в excel. Мне только нужно знать, как они выглядят в строке

    question img

Ответы 3

  • Поправил первую формулу, там сбой вкрался
    • Автор:

      amourorng
    • 5 лет назад
    • 0
  • Спасибо большое !
    • Автор:

      alejandro
    • 5 лет назад
    • 0
  • Пожалуйста
  • Добавить свой ответ

Войти через Google

или

Забыли пароль?

У меня нет аккаунта, я хочу Зарегистрироваться

How much to ban the user?
1 hour 1 day 100 years