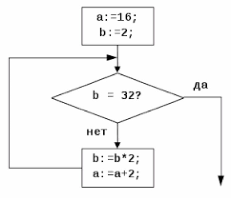
• определите значение переменной а после выполнения фрагмента алгоритма

    question img

Ответы 1

  • А=24В=32Так как цикл произойдет 4 раза
    • Автор:

      ester2zfm
    • 6 лет назад
    • 0
  • Добавить свой ответ

Войти через Google

или

Забыли пароль?

У меня нет аккаунта, я хочу Зарегистрироваться

How much to ban the user?
1 hour 1 day 100 years