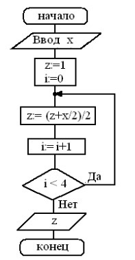
• Дана блок-схема. Какое значение будет иметь z на выходе, если x=52? (При решении и в ответе округляй до десятых)

    question img

Ответы 2

  • Значение z будет равно 24,44
  • значение z равно 24,4

  • Добавить свой ответ

Еще вопросы

Войти через Google

или

Забыли пароль?

У меня нет аккаунта, я хочу Зарегистрироваться

How much to ban the user?
1 hour 1 day 100 years