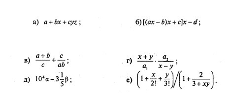
• для следующих математических выражений запишите соответствующие арифметические выражения на паскале
    только Д помогите пожалуйста

    question img

Ответы 2

  • program psck;vara,b: real;begin read(a,b); b:=10*10*10*10*a-3*b/5; write('Полученный результат - ',b);end.
  • program psck;vara,b: real;begin    read(a,b);    b:=10*10*10*10*a-3*b/5;    write('Полученный результат - ',b);end.
    • Автор:

      sallyak8g
    • 6 лет назад
    • 0
  • Добавить свой ответ

Еще вопросы

Войти через Google

или

Забыли пароль?

У меня нет аккаунта, я хочу Зарегистрироваться

How much to ban the user?
1 hour 1 day 100 years