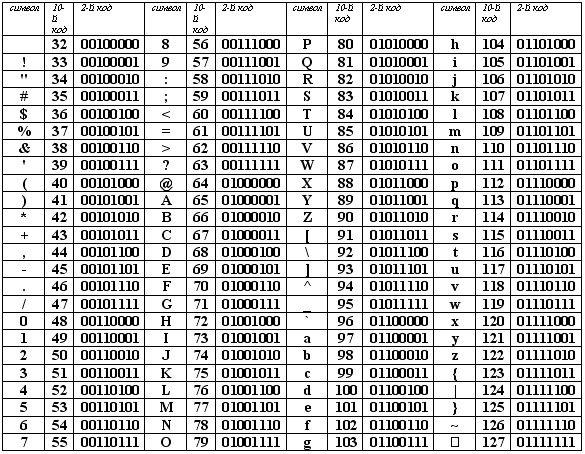
• 1. Какой объём памяти займёт приведённый ниже текст, если известно, что в нём используется кодировочная таблица ASCII?

    Happy New Year, dear friends!!













    2. C помощью кодировочной таблицы ASCII раскодируйте заданный текст:

    98 121 99 107 32 105 115 32 109 121 32 100 111 103 46















    3. C помощью кодировочной таблицы ASCII закодируйте заданный текст:

    I was born in 1975.












    4. Сколько символов содержится в тексте, использующем таблицу ASCII, если известно, что он занимает 24 576 бит памяти?







    question img

Ответы 1

  • а остальное
    • Автор:

      jesse63
    • 6 лет назад
    • 0
  • Добавить свой ответ

Еще вопросы

Войти через Google

или

Забыли пароль?

У меня нет аккаунта, я хочу Зарегистрироваться

How much to ban the user?
1 hour 1 day 100 years