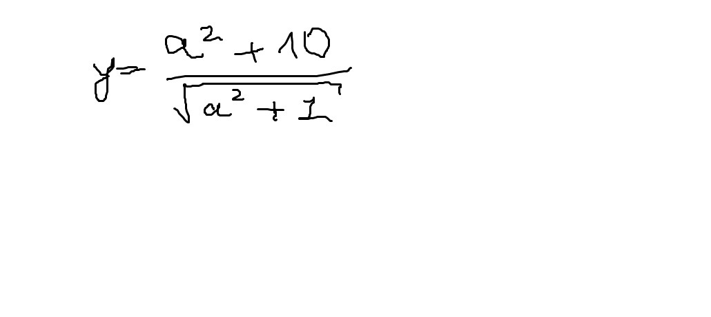
• Написать программу вычесления значения следуещей функции:

    question img

Ответы 2

  • Program n1;var y,a:integer;Begin writeln('Введите a'); readln(a); y:=(sqr(a)+10)/sqrt(sqr(a)+1); writeln('y=',y);end.
    • Автор:

      daciano
    • 6 лет назад
    • 0
  • // PascalABC.NET 3.3, сборка 1611 от 06.01.2018// Внимание! Если программа не работает, обновите версию!beginvar a:= ReadReal('a =');Writeln('y = ', (a**2+10)/(sqrt(a**2 + 1)));end.Пример:a = 1y = 7.77817459305202
    • Автор:

      tyxto4
    • 6 лет назад
    • 0
  • Добавить свой ответ

Еще вопросы

Войти через Google

или

Забыли пароль?

У меня нет аккаунта, я хочу Зарегистрироваться

How much to ban the user?
1 hour 1 day 100 years