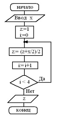
• Дана блок-схема. Какое значение будет иметь z на выходе, если x=16? (При решении и в ответе округляй до десятых)

    question img

Ответы 2

  • Дана блок-схема. Какое значение будет иметь z на выходе, если x=37? (При решении и в ответе округляй до десятых) Помогите
    • Автор:

      emily85
    • 6 лет назад
    • 0
  • Ответ будет 2,6 если я нигде не ошибся
    • Автор:

      baby doll
    • 6 лет назад
    • 0
  • Добавить свой ответ

Войти через Google

или

Забыли пароль?

У меня нет аккаунта, я хочу Зарегистрироваться

How much to ban the user?
1 hour 1 day 100 years