• Помогите пожалуйста решить!!!!!!
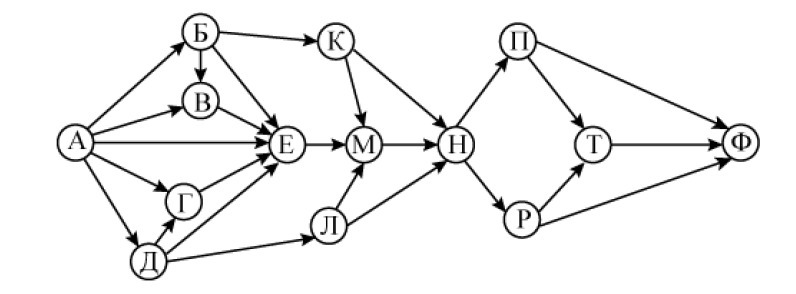
    На рисунке – схема дорог, связывающих города А, Б, В, Г, Д, Е, К, Л, М, Н,
    П, Р, Т, Ф. По каждой дороге можно двигаться только в одном направлении,
    указанном стрелкой.
    Сколько существует различных путей из города А в город Ф?

    question img

Ответы 2

  • спасибо)
  • У меня 44 получилось)
    • Автор:

      bitsufu9
    • 6 лет назад
    • 0
  • Добавить свой ответ

Войти через Google

или

Забыли пароль?

У меня нет аккаунта, я хочу Зарегистрироваться

How much to ban the user?
1 hour 1 day 100 years