• ДАЮ 100 БАЛЛОВ
    Переведите функцию на язык программирования
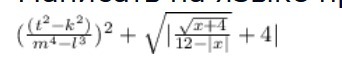
    Написать на языке программного выражения

    question img

Ответы 4

  • нужно не программу,а функцию перевести на язык программирования
    • Автор:

      kalibrock
    • 6 лет назад
    • 0
  • так выражение sqr((t*t-k*k)/(sqr(sqr(m))-l*sqr(l)))+sqrt(abs((sqrt(x+4))/(12-abs(x))+4)) и есть эта функция
  • спасибо
    • Автор:

      ian
    • 6 лет назад
    • 0
  • Program n1;var x,l,t,k,m,res: real;beginreadln(x,l,t,k,m);res:=sqr((t*t-k*k)/(sqr(sqr(m))-l*sqr(l)))+sqrt(abs((sqrt(x+4))/(12-abs(x))+4));write(res);end.
    • Автор:

      adam75
    • 6 лет назад
    • 0
  • Добавить свой ответ

Еще вопросы

Войти через Google

или

Забыли пароль?

У меня нет аккаунта, я хочу Зарегистрироваться

How much to ban the user?
1 hour 1 day 100 years