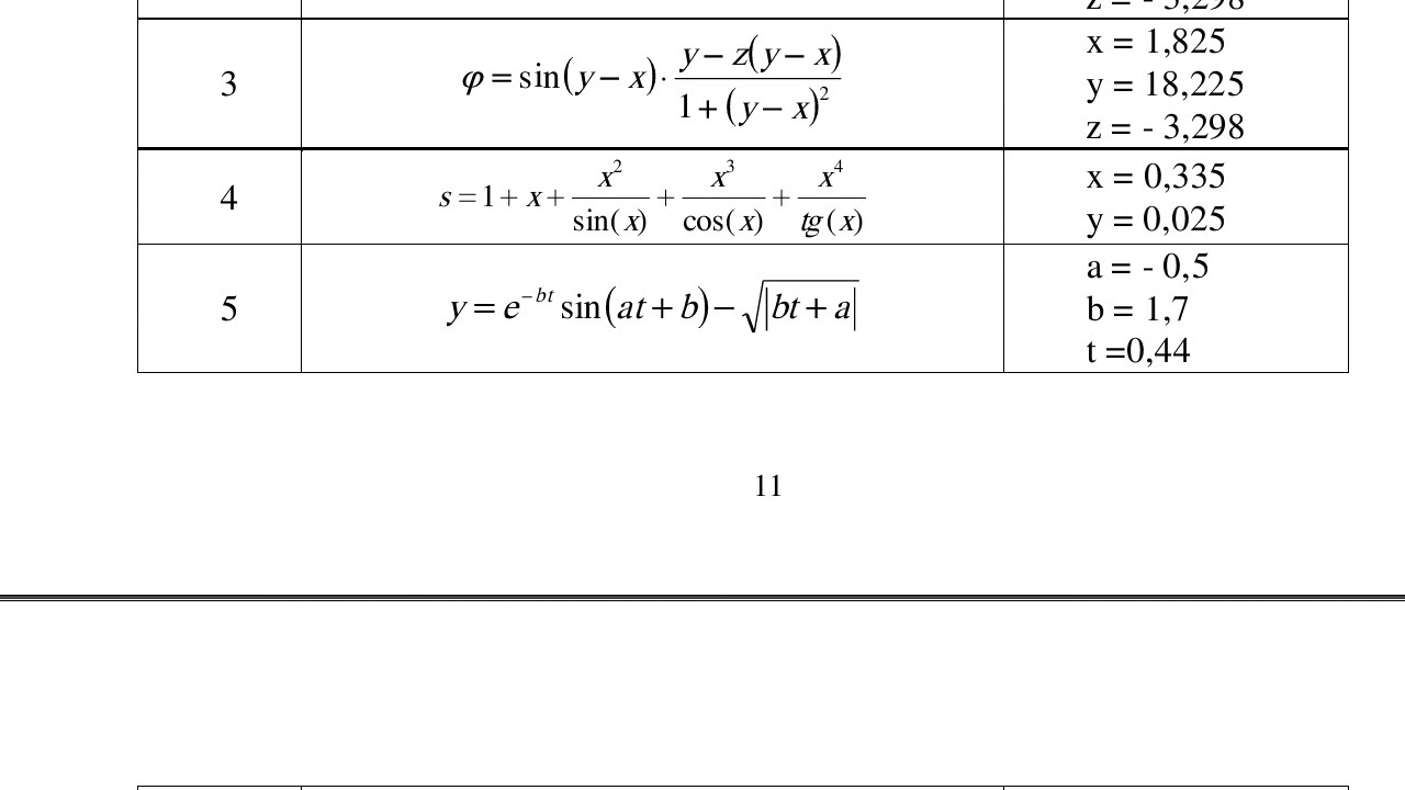
• помогите как записать 3е уравнение в паскаль. Если кто может помогите написать программу пожалуйста !!!!!

    question img

Ответы 1

  • program xyzf;var x,y,z,f:real;beginx:=1.825;y:=18.225;z:=-3.298;f:= sin(y-x)*(y-z*(y-x))/(1+sqr(y-x));    writeln(f);end.
  • Добавить свой ответ

Еще вопросы

Войти через Google

или

Забыли пароль?

У меня нет аккаунта, я хочу Зарегистрироваться

How much to ban the user?
1 hour 1 day 100 years