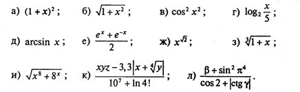
• Для следующих математических выражений запишите соответствующие арифметические выражения на паскале

    question img

Ответы 1

  • sqr(1+x) //asqrt(1+x*x) //бsqrt(cos(x*x)) //вln(0.2*x)/ln(2) //гarcsin(x) //д(exp(x)+exp(-x))/2 //еexp(ln(x)*sqrt(2)) //жexp(ln(1+x)*(1/3)) //з sqrt(exp(ln(x)*8) + exp(ln(8)*x)) //и//заменил 4! на 24, т.к. встроенной функции факториала не нашел (x*y*z-3.3*abs(x+sqrt(sqrt(y)))) / (10000000 + ln(24)) //к//для меня загадка, почему в fp не ctg; заменил на 1/tg(b + sqr(sin(sqr(pi*pi))))/cos(2 + abs(1/tan(g))) //л
  • Добавить свой ответ

Войти через Google

или

Забыли пароль?

У меня нет аккаунта, я хочу Зарегистрироваться

How much to ban the user?
1 hour 1 day 100 years