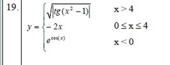
• 1. Разработать подпрограмму для вычисления значения функции (функция определена в таблице 1). Значение функции вычислять с точностью до тысячных долей.

    Рассмотреть два варианта реализации подпрограммы: подпрограмма-процедура и подпрограмма-функция.

    Использовать подпрограмму для построения таблицы значений функции в 10 различных точках. Очень сильно нужна помощь , необходимо сделать в паскаль

    question img

Ответы 1

  • Скачай файл, там усьо есть.

    answer img
  • Добавить свой ответ

Войти через Google

или

Забыли пароль?

У меня нет аккаунта, я хочу Зарегистрироваться

How much to ban the user?
1 hour 1 day 100 years