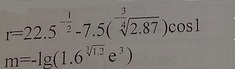
• Помогите преобразовать алгебраические выражения в программные и решите их

    question img

Ответы 6

  • Как видишь, ничего не изменилось.
    • Автор:

      scruffy
    • 6 лет назад
    • 0
  • Просто я попробовал через photo math у меня получилось в m 0.506665 а первое вообще не решает оно
    • Автор:

      champzegl
    • 6 лет назад
    • 0
  • Ты пробуй код скомпилировать и запустить.
    • Автор:

      vang
    • 6 лет назад
    • 0
  • я пробовал
  • ничего в понедельник уточню
  • #include <math.h>

    #include <stdio.h>

    int main(void)

    {

    double

     r = 0,

     m = 0;

    r = 1/pow(22.5, 0.5) - 7.5*(1/(pow(2.87, 4/3))) * cos(1);

    m = -1 * log10(pow(1.6, pow(1.2, 1/3)) * exp(3));

    printf("Переменная r = %.3f", r);

    printf("Переменная m = %.3f", m);

    }

    gcc

    answer img
  • Добавить свой ответ

Войти через Google

или

Забыли пароль?

У меня нет аккаунта, я хочу Зарегистрироваться

How much to ban the user?
1 hour 1 day 100 years