• Помогите пожалуйста.
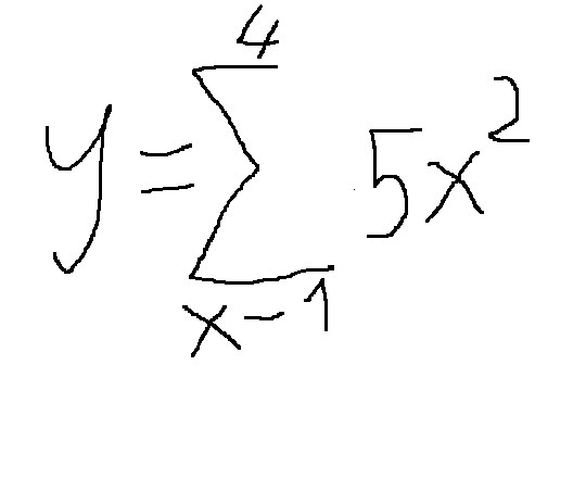
    1)вычислить выражения y=∑⁴ₓ₋₁ 5x^2
    2)введения целые положительные числа пока их сумма меньше 100 найдите количество целых чисел

    question img

Ответы 1

  • // PascalABC.NET 3.4.2, сборка 1790 от 15.09.2018

    // Внимание! Если программа не работает, обновите версию!

    begin

     // задача 1

     Println(5*(4.Range.Select(t->t*t).Sum));

     // задача 2

     var (s,k):=(0,0);

     repeat

       var n:=ReadInteger;

       if s+n>100 then break;

       s+=n;

       k+=1

     until False;

     Println('Принято чисел: ',k)

    end.

  • Добавить свой ответ

Войти через Google

или

Забыли пароль?

У меня нет аккаунта, я хочу Зарегистрироваться

How much to ban the user?
1 hour 1 day 100 years