• С++ (циклы)

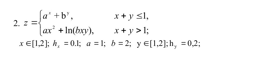
    Необходимо составить программу
    вычисления значения функций при различных значениях аргументов, заданных
    интервалом изменения и величиной шага.

    question img

Ответы 1

  • #include <iostream>

    #include <cmath>

    using namespace std;

    int main() {

    double hx = 0.1;

    double hy = 0.2;

    double z = 0;

    double x = 1;

    double y = 1;

    while (x <= 2) {

     y = 1;

     while (y <= 2) {

      z = x * x + log(2 * x * y);

      y += hy;

      cout << z;

      }

     x += hx;

    }

    return 0;

    }

    • Автор:

      myla
    • 6 лет назад
    • 0
  • Добавить свой ответ

Еще вопросы

Войти через Google

или

Забыли пароль?

У меня нет аккаунта, я хочу Зарегистрироваться

How much to ban the user?
1 hour 1 day 100 years