• Помогите подобрать формулу для графика в экселе. Нужна именно формула, для построения графика!!!

    question img

Ответы 6

  • В A положи иксы, а в B вбей преобразованную формулу: =КОРЕНЬ(64 - A1^2) * 5 / 8.
  • Потому что тут явно от тебя не требуется трёхмерный график строить. Просто надо вывести игрек из уравнения.
  • Господи, какой ты умный
  • Я завтра тогда уже попробую
    • Автор:

      jonathon
    • 6 лет назад
    • 0
  • Давай. Только что построил. Это эллипс. Нужно ещё один график там же построить - такой же, но со знаком минус. Иксы - от -8 до 8.
    • Автор:

      bruno98
    • 6 лет назад
    • 0
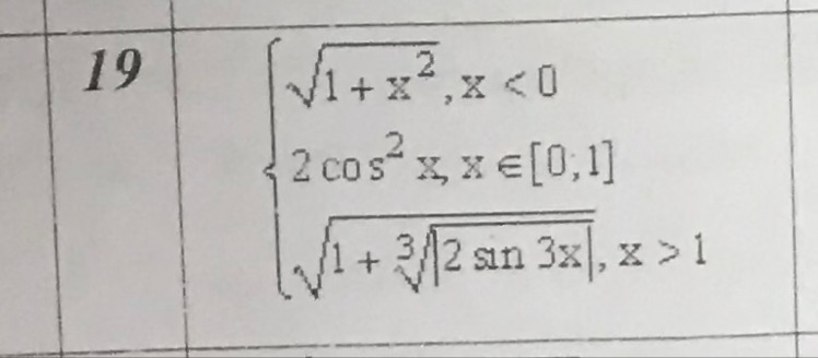
  • =ЕСЛИ(A1 < 0; КОРЕНЬ(1+A1^2); ЕСЛИ(A1 > 1; КОРЕНЬ(1 + ABS(2 * SIN(3*A1)^(1/3))); 2 * COS(A1) ^ 2))

    В столбце A - значения x, в B = результат, при построении графика просто выделяешь их в момент выбора значений.

    • Автор:

      reggie
    • 6 лет назад
    • 0
  • Добавить свой ответ

Войти через Google

или

Забыли пароль?

У меня нет аккаунта, я хочу Зарегистрироваться

How much to ban the user?
1 hour 1 day 100 years