• 98 БАЛЛОВ! Упростите логическое уравнение по информатике

    question img

Ответы 4

  • А как насчет е) )))
    • Автор:

      birdy0fqu
    • 6 лет назад
    • 0
  • я случайно промазал и отправил ответ)
    • Автор:

      arynvrs3
    • 6 лет назад
    • 0
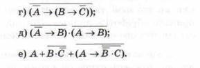
  • г)not(A+not(B)+not(C)=not(A)*B*Cд)not(A+B)*not(not(A)+B)=not(A)*not(B)*A*not(B)=A*not(A)*not(B)=0е)A+not(B)+C+not(not(A)+B+not(C))=A+not(B)+C+A+not+(B)+C=A+not(B)+C
    • Автор:

      harry6
    • 6 лет назад
    • 0
  • \displaystyle 1)\quad \overline{\overline A \to (B \to \overline C))}=\overline {A+(\overline B+\overline C)}=\overline ABC\\ \\2)\quad \overline {(\overline A\to B)}\cdot\overline{(A\to B)}=\overline{A+B+\overline A+B}=\overline 1=0\\ \\3) \quad A+\overline{B\overline C}+\overline{A\to\overline{\overline BC}}=A+\overline B+C+\overline{\overline A+B+\overline C}=\\ \\A+\overline B+C+A\overline BC=A(1+\overline BC)+\overline B+C=A+\overline B+C

    • Автор:

      brie
    • 6 лет назад
    • 0
  • Добавить свой ответ

Войти через Google

или

Забыли пароль?

У меня нет аккаунта, я хочу Зарегистрироваться

How much to ban the user?
1 hour 1 day 100 years