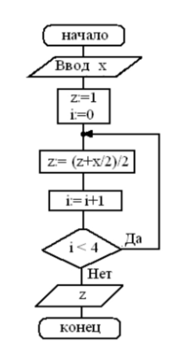
• Дана блок-схема. Какое значение будет иметь z на выходе, если x=5?
    (Промежуточные вычисления не округляйте, ответ округлите до десятых)

    question img

Ответы 1

  • Вот как-то так это решается
    answer img
    • Автор:

      montana
    • 6 лет назад
    • 0
  • Добавить свой ответ

Войти через Google

или

Забыли пароль?

У меня нет аккаунта, я хочу Зарегистрироваться

How much to ban the user?
1 hour 1 day 100 years