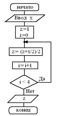
• Дана блок-схема. Какое значение будет иметь z на выходе, если x=4 ?

    question img

Ответы 1

  • z = 1; i = 0

    z = (z + x / 2) / 2 = (1 + 4 / 2) / 2 = 3 / 2 = 1.5

    z = 1.5; i = 1;

    z = (1.5 + 4 / 2) / 2 = 3.5 / 2 = 1.75

    z = 1.75; i = 2;

    z = (1.75 + 4 / 2) / 2 = 2.75 / 2 = 1.875

    z = 1.875; i = 3;

    z = (1.875 + 4 / 2) / 2 = 3.875 / 2 = 1.9375

    z = 1.9375; i = 4;

    Следующий цикл while не выполняется, поскольку i = 4, следовательно, 4 < 4 = false. Завершение цикла.

    Ответ

    1.9375

    • Автор:

      annie1ndo
    • 6 лет назад
    • 0
  • Добавить свой ответ

Войти через Google

или

Забыли пароль?

У меня нет аккаунта, я хочу Зарегистрироваться

How much to ban the user?
1 hour 1 day 100 years