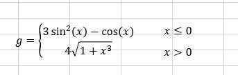
• =ЕСЛИ(A7<=0;3sin'2x-cosx);(4)((1+x^2)^3/2)
    Как написать эту формулу в EXCEL!
    Помогите пожалуйста

    question img

Ответы 2

  • Формула для функции с рисунка (значение x записано в ячейке A1):

    =ЕСЛИ(A1<=0;3*SIN(A1)*SIN(A1)-COS(x);4*КОРЕНЬ(1+A1^3))

  • Значение x в ячейке А7

    =ЕСЛИ(А7<=0;3*sin(A7)^2-cos(A7); 4*КОРЕНЬ(1+А7^3))

    • Автор:

      pecansun9
    • 6 лет назад
    • 0
  • Добавить свой ответ

Войти через Google

или

Забыли пароль?

У меня нет аккаунта, я хочу Зарегистрироваться

How much to ban the user?
1 hour 1 day 100 years