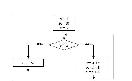
• СРОЧНО! Определите значение переменной с после

    выполнения фрагмента алгоритма,

    записанного в виде блок-схемы:

    question img

Ответы 1

  • 1)Начальные параметры переменных

    a 2

    b 10

    c 3

    2)b у нас больше а, выполняем действия в блок схеме по стрелочке "да" и получаем новые параметры переменных:

    a 5

    b 9

    c 4

    3)b у нас все еще больше, чем а, выполняем повторно действия в блок схеме по стрелочке "да" и получаем новые параметры переменных:

    a 9

    b 8

    c 5

    4)b меньше чем а, следовательно выполняем действие по стрелочке "нет" и получаем

    a 9

    b 8

    c 40

    Ответ: Значение переменной после выполнения алгоритма равно 40. с = 40.

  • Добавить свой ответ

Войти через Google

или

Забыли пароль?

У меня нет аккаунта, я хочу Зарегистрироваться

How much to ban the user?
1 hour 1 day 100 years