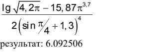
• Срочно нужна ваша помощь! Я даю 100 баллов за правильный ответ ( кто будет писать бред чтобы забрать 100 баллов, улетают в бан!) Надо сделать это задачу на языке "C" Я буду очень благодарен и поставлю оценку 5 за помощь!

    question img

Ответы 1

  • Ответ:

    плпгсрлплпсдюмобчодслючодсшес

    Объяснение:

    оюпсопсгюсшюсшєсгдс

  • Добавить свой ответ

Войти через Google

или

Забыли пароль?

У меня нет аккаунта, я хочу Зарегистрироваться

How much to ban the user?
1 hour 1 day 100 years