• Решить в екселе.................................................................................................

    question img

Ответы 1

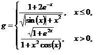
  • Если в ячейке B4 записать значение х, то в ячейке С5 получим значение g, записав такую формулу:=IF(B4>0;SQRT(1+EXP(2*B4))/(1+B4*B4*COS(B4));(1+2*EXP(-B4))/SQRT(ABS(SIN(B4))+B4*B4))
    • Автор:

      reyes86
    • 6 лет назад
    • 0
  • Добавить свой ответ

Еще вопросы

Войти через Google

или

Забыли пароль?

У меня нет аккаунта, я хочу Зарегистрироваться

How much to ban the user?
1 hour 1 day 100 years