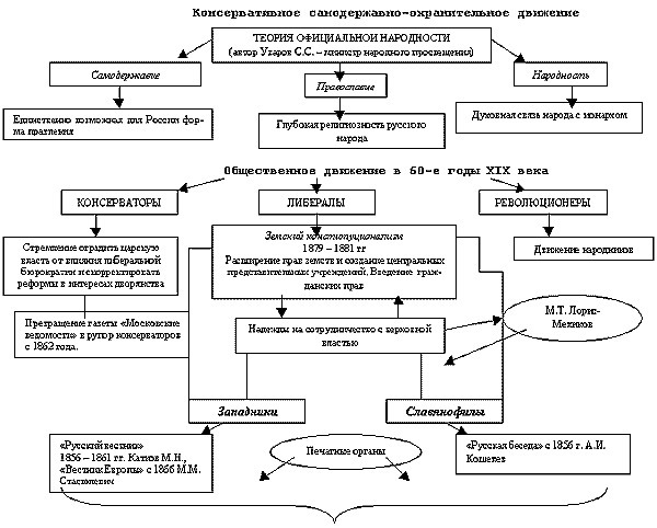
• Продумайте структуру и заполните сравнительную таблицу "Политические движения в 19 веке"

Ответы 1

  • Надеюсь чем-то помогла
    answer img
    answer img
    answer img
    • Автор:

      cosmetu0w
    • 2 года назад
    • 8
  • Добавить свой ответ

Еще вопросы

Войти через Google

или

Забыли пароль?

У меня нет аккаунта, я хочу Зарегистрироваться

How much to ban the user?
1 hour 1 day 100 years