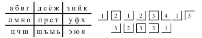
• Расшифруй фразу с помощью таблицы, цифра означает порядковый номер буквы. ДАЮ МНОГО БАЛЛОВ

    question img

Ответы 2

  • Арабская веснаОтвет.
  • арабская весна

    вот эти чёрточки показывают столбики

    • Автор:

      solis
    • 6 лет назад
    • 0
  • Добавить свой ответ

Войти через Google

или

Забыли пароль?

У меня нет аккаунта, я хочу Зарегистрироваться

How much to ban the user?
1 hour 1 day 100 years