• Обьясните, пожалуйста, почему так?
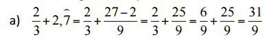
    2.7 - 2.(7) - периодичное число.
    Почему при переводе периодичного числа в дробь знаменатель не 10, а 9 и почему от 27 отнимают 2

    question img

Ответы 1

  • аа,сложно объяснить,ну да ладно. Есть периодическая дробь 2.7. для начала нам нужно представить её в виде обыкновенной дроби. В периодической дробе есть всего две цифры:2 и 7. Так вот. В числитель мы  спишем все цифры стоящие перед запятой (то есть 2),а потом просто слева припишем все остальные цифры после запятой(то есть 7) заметь,что тут нужно просто приписать ,а не складывать. у нас получается в числителе 27. Далее из первого числа в числителе(из 27) вычитаем число стоящее после запятой в периодической дроби(то есть 2. Если бы у нас была периодическа дробь  45.78 ,то в числителе получилось бы  4578 -45) дальше переходим к знаменателю. В знаменателе мы пием столько девяток ,сколько цифр стоит в периоде. в данном примере в периоде стоит цифра 7 и все,значит в числителе запишем одну девятку. ну а дальше приводишь все это к  общему знаменателю и складываешь две эти дроби. Все очень просто. Перечитай внимательно несколько раз и все поймешь.
  • Добавить свой ответ

Войти через Google

или

Забыли пароль?

У меня нет аккаунта, я хочу Зарегистрироваться

How much to ban the user?
1 hour 1 day 100 years