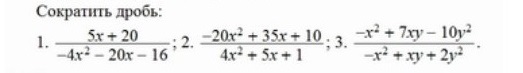
• Помогите решить, пожалуйста
    Там с дискриминантами нужно разложить, вроде бы

    question img

Ответы 1

  • используется формула разложения квадратного трехчлена :ах*2 + bx+ c = a (x-x1) (x - x2)  где х1 и х2 корни квадратного уравнения
  • Добавить свой ответ

Войти через Google

или

Забыли пароль?

У меня нет аккаунта, я хочу Зарегистрироваться

How much to ban the user?
1 hour 1 day 100 years