• Моему счастью не будет предела,если какой-нибудь заблудшей душе удастся решить этот ,совершенно не понятный для меня "набор цифр"

    question img

Ответы 3

  • Хм
    • Автор:

      speed
    • 6 лет назад
    • 0
  • Обидно,конечно,2 часа просидел с нерешаемым примером
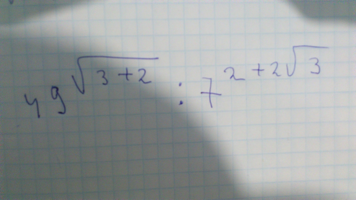
  • Пример записан неверно вместо корня из 3+2 должно быть - корень из . если трех потом +2. Если 49=7 в квадрате то первое слагаемое равно 7 в степени 2корня из 3  и +4, а после деления степеней с одинаковым основанием 7 получаем 7 в степени 2корня из 3 + 4 - 2корня из3 -2=2 ответ 2
    • Автор:

      corkymay
    • 6 лет назад
    • 0
  • Добавить свой ответ

Войти через Google

или

Забыли пароль?

У меня нет аккаунта, я хочу Зарегистрироваться

How much to ban the user?
1 hour 1 day 100 years