• как решить это? помогите срочно нужно !!! полностью решить с объяснением

    question img

Ответы 6

  • ясно спасибо вам, но впреть как мне вас найти потом? ведь у меня Егэ...(
    • Автор:

      giles
    • 6 лет назад
    • 0
  • На сайте duadna. У меня только в следующем году. Я в 10.
  • а в сетях никак?
    • Автор:

      winnie30
    • 6 лет назад
    • 0
  • Есть, но не хочу,не афиширую, что здесь сижу... Извени задали 4 сочинения: по Чичикову, Сорелю, по "Земля" и по английскому... Просто аут! это я расслабляюсь :)
  • найди просто меня и все чики пуки
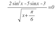
  • x+п/6 больше 0. х больше -п/6; sin x=t, 2t^2-5t-3=0; Д =25+4*2*3 =25+24=49; t1=(5-7)/4=-1/2; t2=(5+7)/4=3 не подходит, sinx =-1/2; x=(-1)^(q+1)*п/6+пq, q принадлежит нечетным
    • Автор:

      remyrubio
    • 6 лет назад
    • 0
  • Добавить свой ответ

Еще вопросы

Войти через Google

или

Забыли пароль?

У меня нет аккаунта, я хочу Зарегистрироваться

How much to ban the user?
1 hour 1 day 100 years