• Знайдіть похідну функціі:
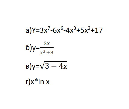
    а)у=3x7-6x6-4x3+5x2+17
    б)у=3х/(х^3+3)
    в)у=√(3-4х)
    г) х*ln x

    question img

Ответы 2

  • большое спасибо
    • Автор:

      alyvia
    • 6 лет назад
    • 0
  • честно сказать,не понимаю на Украинском ,,,,,вроде так
    answer img
    • Автор:

      waylon
    • 6 лет назад
    • 0
  • Добавить свой ответ

Войти через Google

или

Забыли пароль?

У меня нет аккаунта, я хочу Зарегистрироваться

How much to ban the user?
1 hour 1 day 100 years