• пожалуйста помогите решить систему!!!!(вот рисунок)

    question img

Ответы 3

  • можешь помочь с http://znanija.com/task/11180670 ?
    • Автор:

      kanebryan
    • 6 лет назад
    • 0
  • пожалуйста!!!очень прошу,срочно!!!)помогите!!!
    • Автор:

      dario89
    • 6 лет назад
    • 0
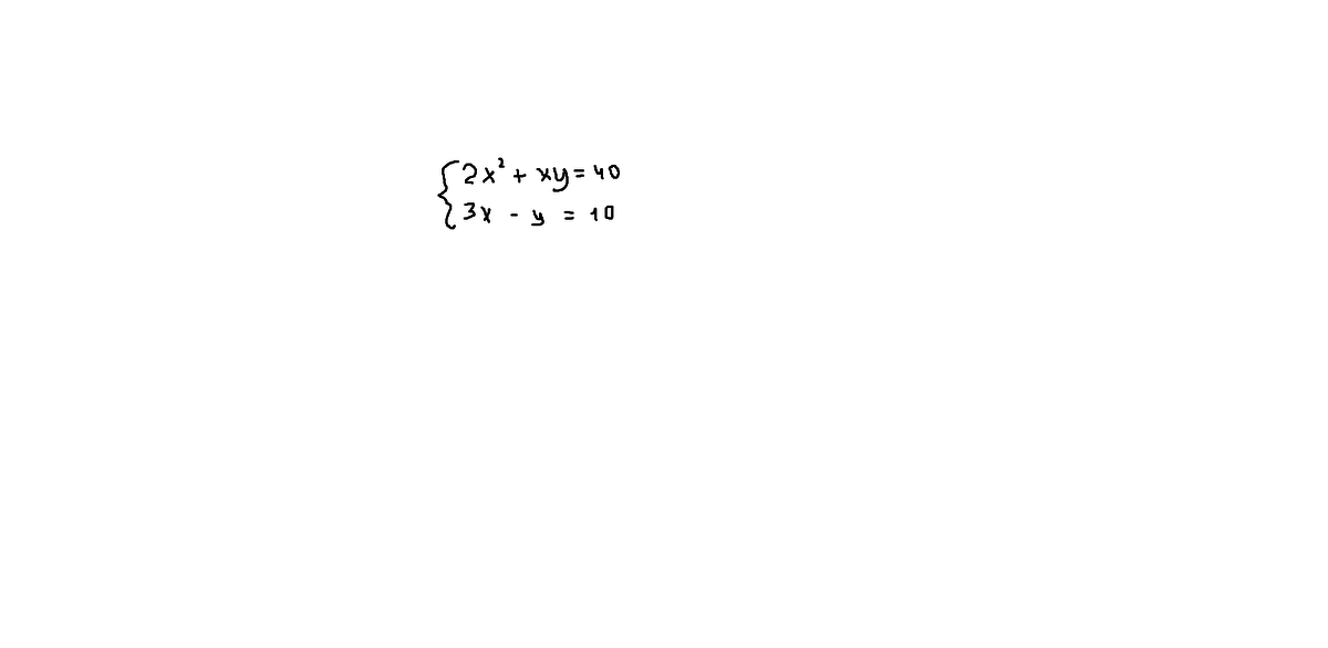
  • \left\{{{ 2x^{2}+xy=40 }\atop{3x-y=10}}ight.  \left \{ {{ 2x^{2}+xy=40 } \atop {-y=10-3x}} ight. -y=10-3xy=3x-10 ⇒ 2x^{2}+x(3x-10)=40 2x^{2}+ 3x^{2}-10x-40=05x^{2}-10x-40=0 x^{2}-2x-8=0D=4+32=36 x_{1}= \frac{2+6}{2}=4      x_{2}= \frac{2-6}{2}=-2 y_{1}=3*4-10=2      y_{2}=3*(-2)-10=-16
    • Автор:

      shaggy
    • 6 лет назад
    • 0
  • Добавить свой ответ

Войти через Google

или

Забыли пароль?

У меня нет аккаунта, я хочу Зарегистрироваться

How much to ban the user?
1 hour 1 day 100 years