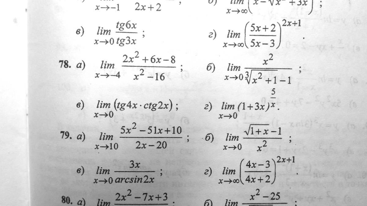
• Помогите пожалуйста решить этот пример 78 г) . Желательно с подробным решением. Буду очень признателен.

    question img

Ответы 1

  •  \lim_{x \to 0}  (1+3x)^{ \frac{5}{x} } =  \lim_{x \to 0}   ((1+3x)^{ \frac{1}{3x} }) ^{3x *  \frac{5}{x} } =  \lim_{x \to 0}  ((1+3x)^{ \frac{1}{3x} } )^{15}  \\ =  e^{15}
    • Автор:

      joyceali
    • 6 лет назад
    • 0
  • Добавить свой ответ

Войти через Google

или

Забыли пароль?

У меня нет аккаунта, я хочу Зарегистрироваться

How much to ban the user?
1 hour 1 day 100 years