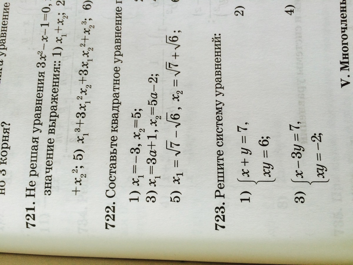
• Сопоставьте квадратное уравнение по заданным корням!

    question img

Ответы 4

  • я не понимаю какпомогите
    • Автор:

      myron
    • 6 лет назад
    • 0
  • Дописала.
  • а спасибо
  • Используем Теорему Виета. x^{2} -8x+15=0Смотрите,о чём нам диктует Т.Виета:Произведение корней равно свободному члену с,т.е. 15,а сумма корней,ВЗЯТАЯ С ПРОТИВОПОЛОЖНЫМ ЗНАКОМ,ДАЁТ нам p при х.(8 cумма,знак меняем, -8)Общий вид,чтоб не запутались,квадратного трёхчлена  x^{2} +px-q
    • Автор:

      roxy9szg
    • 6 лет назад
    • 0
  • Добавить свой ответ

Войти через Google

или

Забыли пароль?

У меня нет аккаунта, я хочу Зарегистрироваться

How much to ban the user?
1 hour 1 day 100 years