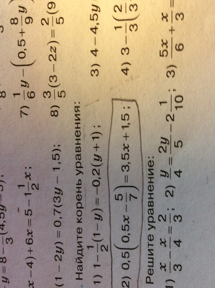
• Добрый вечер! Можете, пожалуйста, помочь мне по математике, номер 1424, 2 задание с подробным условием. 6 класс. Заранее огромнейшее спасибо

    question img

Ответы 1

  • 2)0,5 × ( 0,5х - 5/7 ) = 3,5х + 1,50,25x - 5/14 = 3,5x + 1,5-1,5 - 5/14 = 3,5x - 0,25x15/28 = 3,25xx = 15/28 : 3,25 = 15/3640,5 × ( 0,5 × 15/364 - 5/7 ) = 3,5 × 15/364 + 1,5
    • Автор:

      cubbywong
    • 6 лет назад
    • 0
  • Добавить свой ответ

Войти через Google

или

Забыли пароль?

У меня нет аккаунта, я хочу Зарегистрироваться

How much to ban the user?
1 hour 1 day 100 years