Помогите пожалуйста решить уравнения. Я так долго это писала.. надеюсь поймёте что там написано.
Предмет:
МатематикаАвтор:
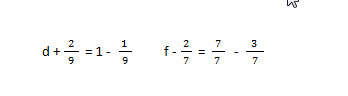
cirilogriffind+2/9+1/9-1=0 d+3/9-1=0 d-2/3=0 d=2/3
в уравнении с f все в одну сторону и получается f-6/7=0 f=6/7
Автор:
montserratДобавить свой ответ
Помогите пожплуйста!
Употребите данные словосочетания в единственном числе.
Эффективные аэрозоли, красивые туфли, черные рояли, домашние тапочки, импортные кроссовки, наши плацкарты, старинные банкноты, большие мозоли, широкие проруби, лесные просеки, молодые жирафы, бриллиантовые колье, большие гризли, справочные бюро, новые шоссе, красивые тюли.
Предмет:
Русский языкАвтор:
ann89Ответов:
Смотреть
твір "памятай,що слово-бумеранг"
Предмет:
Українська моваАвтор:
kaelmckayОтветов:
Смотреть
1 Who is Jim Olsen?
2 How many sons does Jim have?
3 Do the sons help their father?
4 Is there a treasure in the garden?
5 What is Jim Olsen,s treasure?
перевидите плиз!
Предмет:
Английский языкАвтор:
amelia14Ответов:
Смотреть
Расставить коэфициенты уравнения при помощи электроного баланса
KNO2+2KY+2H2SO4=Y2+K2SO4+2No+2H2O
Закончить уравнение и расставить коэфициенты при помощи электроного баланса
2KMnO4+K2SO3+3KOH=