• Решите плиз
    методом подстановки
    желательно со всем решением
    буду благодарен

    question img

Ответы 3

  • да помог
    • Автор:

      lightning
    • 6 лет назад
    • 0
  • сппсибо
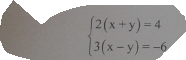
  • 2(х+у)=43(х-у)=-6х+у=4/2=2  ⇒у=2-хх-у=-6/3=-2   подставимх-(2-х)=-2         х-2+х=-2     2х=0       х=0     у=2-х=2-0=2ответ  х=0, у=2
    • Автор:

      chica
    • 6 лет назад
    • 0
  • Добавить свой ответ

Еще вопросы

Войти через Google

или

Забыли пароль?

У меня нет аккаунта, я хочу Зарегистрироваться

How much to ban the user?
1 hour 1 day 100 years