• Помогите с решением . 2 раза перерешивал , получались огромные цифры , забрасывал решение и перерешивал снова.

    question img

Ответы 3

  • Что то большие цифры...
    • Автор:

      mayer
    • 6 лет назад
    • 0
  • Это уже не ко мне претензии. Даже по действиям понятно, что ответ должен быть большим.
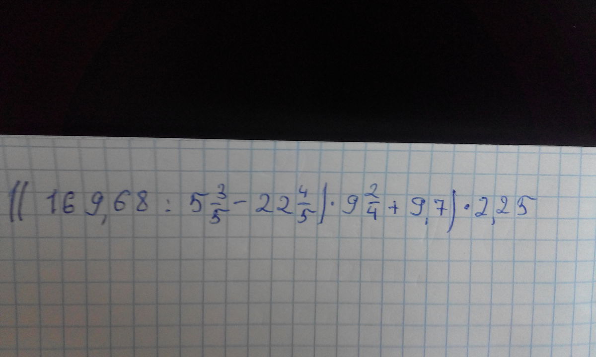
  • Переведём в десятичные дроби:   ((169,68:5,6-22,8)*9,5+9,7)*2,251) 169,68:5,6=30,32) 30,3-22,8=7,53) 7,5*9,5=71,254) 71,25+9,7=80,955) 80,95*2,25=182,1375(Если решать по дробям)1) 169,68 : 5 целых 3/5 = 30 целых 3/10.2) 30 целых 3/10 - 22 целых 4/5 = 7 целых 1/2.3) 7 целых 1/2 * 9 целых 1/2 = 71 целая 1/4.4) 71 целая 1/4 + 9,7 = 80 целых 19/20.5) 80 целых 19/20 * 2,25 = 182 целые 11/80
    • Автор:

      mcconnell
    • 6 лет назад
    • 0
  • Добавить свой ответ

Еще вопросы

Войти через Google

или

Забыли пароль?

У меня нет аккаунта, я хочу Зарегистрироваться

How much to ban the user?
1 hour 1 day 100 years