• решитеееееееееееееееееееееееееееееееее плиииииииииииииз

    question img

Ответы 1

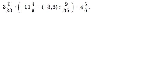
  • 1)-3,6:9/35=-36/10*35/9=-142)-11 4/9 +14=2 5/93)3 3/23*2 5/9=72/23*23/8=84)8 - 4 5/6=3 1/6
  • Добавить свой ответ

Войти через Google

или

Забыли пароль?

У меня нет аккаунта, я хочу Зарегистрироваться

How much to ban the user?
1 hour 1 day 100 years