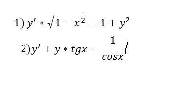
• Помогите решить дифференциальные уравнения пожалуйста

    question img

Ответы 1

  • спасибо большое)
  • Добавить свой ответ

Еще вопросы

Войти через Google

или

Забыли пароль?

У меня нет аккаунта, я хочу Зарегистрироваться

How much to ban the user?
1 hour 1 day 100 years