• Вычислить интегралы: Пожалуйста с подробным решением.

    question img

Ответы 1

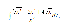
  •  \int { \frac{ \sqrt[6]{ x^{5} } -5 x^{3}+4 \sqrt{x}  }{ x^{2} } } \, dx = \int( { \frac{ \sqrt[6]{ x^{5} }   }{ x^{2} }-\frac{  5x^{3}  }{ x^{2} }+ \frac{  4 \sqrt{x}   }{ x^{2} }})\, dx= \\  \\ = \int( x^{-2+ \frac{5}{6}} - 5x+  4x^{- \frac{3}{2} })\, dx= \frac{x ^{- \frac{7}{6}+1 } }{- \frac{7}{6}+1}-5 \frac{ x^{2} }{2} +4 \frac{x ^{- \frac{3}{2}+1 } }{- \frac{3}{2}+1 }+C= \\  \\ =- \frac{6}{ \sqrt[6]{x} }-2,5 x^{2} - \frac{8}{ \sqrt{x} }  +C
  • Добавить свой ответ

Войти через Google

или

Забыли пароль?

У меня нет аккаунта, я хочу Зарегистрироваться

How much to ban the user?
1 hour 1 day 100 years